Saiba quanto cada partido vai receber do total do Fundo Especial de Campanha
Em cumprimento à lei eleitoral e seus critérios aprovados pelo Congresso, o TSE divulga os valores destinados a cada partido político
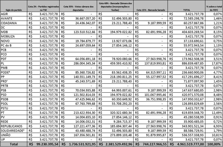
O Tribunal Superior Eleitoral (TSE) divulgou, na segunda-feira (17), os valores que cada partido vai receber do Fundo Especial de Financiamento de Campanha (FEFC), seguindo o prazo fixado pelo calendário eleitoral. Ao todo, 29 partidos receberão R$ 4.961.519.777,00, valor estabelecido pelo Congresso Nacional para gastos com a corrida eleitoral deste ano. Os critérios da divisão também foram fixados em lei pelo parlamento (Lei nº 9.504/1997, artigo 16-D).
Para receber os recursos, cada partido precisa definir critérios de distribuição às candidatas e aos candidatos, de acordo com a lei, respeitando, por exemplo, a cota por gênero e raça. O plano deve ser homologado pelo TSE.
O papel do TSE é dar racionalidade e transparência aos critérios de distribuição (Lei nº 9.504/1997, artigo 16-C) definidos pelos congressistas. Ao final do pleito, os partidos deverão apresentar a prestação de contas detalhada, que será examinada e votada pelo plenário do Tribunal.
Veja a tabela de distribuição:

² Incorporação do Partido Republicano da Ordem Social (Pros) pelo Solidariedade
³ Incorporação do Partido Social Cristão (PSC) pelo Podemos (Pode)
fonte TSE



