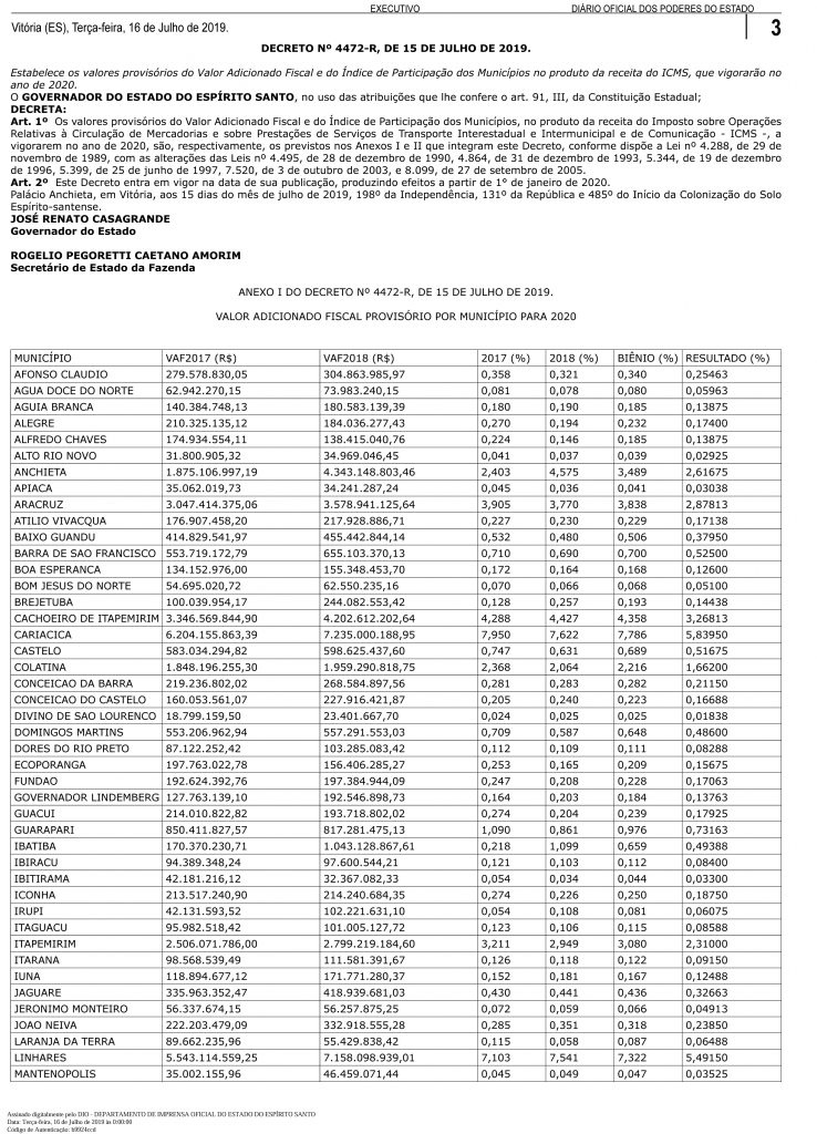
Sefaz divulga IPM Provisório do ICMS para 2020
A Secretaria de Estado da Fazenda (Sefaz) divulgou o Índice de Participação dos Municípios (IPM) Provisório na arrecadação do Imposto Sobre Circulação de Mercadorias e Serviços (ICMS) para 2020. Dessa forma, os municípios capixabas já podem prever quanto receberão do total do ICMS que será repassado pelo Governo do Estado no próximo ano. O decreto foi assinado pelo governador Renato Casagrande e publicado no Diário Oficial do Estado (DIO) desta terça-feira (16).
O Estado divide entre os 78 municípios 25% do ICMS arrecadado todos os anos. Um cálculo estabelece o percentual que cada cidade receberá de ICMS. O resultado leva em consideração o Valor Agregado Fiscal (VAF), que é a diferença entre o total de vendas de mercadorias pelas respectivas compras por empresas localizadas em cada cidade e os serviços prestados que são tributados pelo ICMS.
Vitória foi o município que apresentou o maior índice, passando de 13,375 no ano passado para 15,135 no cálculo deste ano. Em segundo lugar, ficou o município de Serra que reduziu o IPM de 14,529 para 14,051, perdendo assim a primeira colocação após três anos ficando à frente da capital. Já na terceira posição, embora tenha tido uma pequena redução, aparece Linhares, com índice de 6,528 para 2020.
Reduções e incrementos
Ao todo, 50 municípios reduziram seu IPM provisório deste ano em relação ao IPM definitivo do ano passado. Já 27 cidades aumentaram seu índice. Somente o município de Vila Pavão manteve o mesmo índice do ano passado, sendo seu IPM de 0,328.
Percentualmente quem mais teve redução foi o município de Piúma, caindo mais de 52%, passando de 0,620 para 0,297, principalmente por conta de ajustes do Valor Adicionado de empresas do setor de exploração de petróleo. O maior acréscimo, também percentualmente, foi do município de Ibatiba, subindo mais de 72%, passando de 0,434 no IPM Definitivo calculado em 2018 para 0,750 neste IPM Provisório.
Resultado do IPM
O VAF é o principal índice para o cálculo dos percentuais apresentados, e há ainda fatores como área do município, número de propriedades rurais, produção agropecuária, gastos, gestão e consórcio de saúde. O percentual apresentado no IPM também é referência para a distribuição dos recursos oriundos da Lei Kandir e do Fundo de Estímulo às Exportações (FEX) para os municípios.
Recursos
Após a publicação no DIO, os municípios podem impetrar recursos contra o Índice Provisório em até 30 dias. Neste prazo também os municípios poderão incluir em sistema próprio da Sefaz os documentos fiscais emitidos por produtores rurais nos últimos 5 anos que ainda não tenham sido cadastrados no sistema. As DOTs e os arquivos PGDAS-D que não foram entregues no prazo também serão computados no cálculo do IPM definitivo, se apresentados até a data do processamento final.





