Fundo a Fundo da Cultura: confira os municípios capixabas aptos a receber os recursos
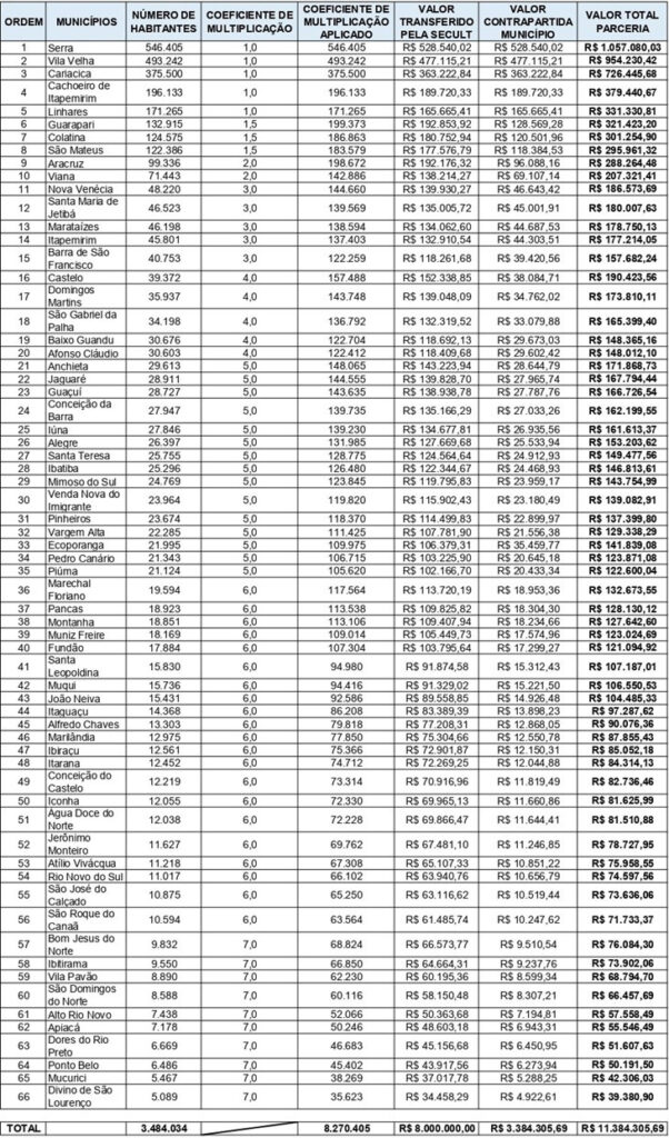
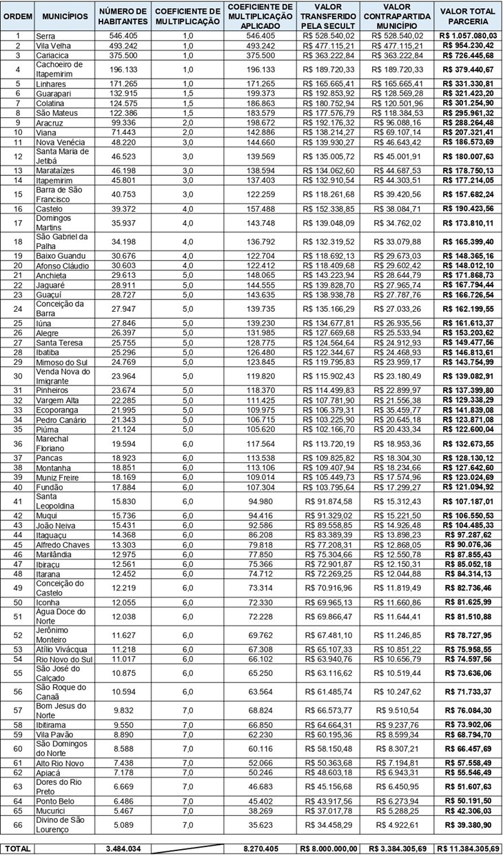
A Secretaria da Cultura (Secult) divulgou, na sexta-feira (23), os 66 municípios que estão aptos a receber os recursos do Programa de Coinvestimento da Cultura – Fundo a Fundo Editais Municipais, Ciclo 2025. Para este ano foram destinados R$ 8 milhões, via recursos estaduais, que, somados ao coinvestimento municipal, este com previsão de 3.3 milhões, vão alcançar o volume total de, aproximadamente, R$ 11, 3 milhões.
Em 2026, são 12 municípios a mais em relação ao último ciclo, realizado em 2023, além de um acréscimo de R$ 2 milhões, oriundo dos recursos pelo coinvestimento estadual pela Secult.
Nesta modalidade, os recursos serão destinados para a criação de editais municipais de seleção de projetos ou chamamento públicos, com objetivo de apoiar os artistas locais dos mais diversos segmentos, bem como fomentar o patrimônio imaterial, tendo como base a tridimensionalidade da cultura: cultura como expressão simbólica de um povo, cultura como direito e cidadania e cultura como economia que gere renda e trabalho.
As inscrições para os municípios se habilitarem ocorreram de 14 de novembro a 14 de dezembro de 2025. Ao todo foram 68 municípios inscritos, dos quais 66 encaminharam os planos de ação e foram habilitados no fim da etapa de habilitação e estão aptos a receberem os recursos.
Conheça os municípios:
1 – AFONSO CLÁUDIO
2 – ÁGUA DOCE DO NORTE
3 – ALEGRE
4 – ALFREDO CHAVES
5 – ALTO RIO NOVO
6 – ANCHIETA
7 – APIACÁ
8 – ARACRUZ
9 – ATILIO VIVACQUA
10 – BAIXO GUANDU
11 – BARRA DE SÃO FRANCISCO
12 – BOM JESUS DO NORTE
13 – CACHOEIRO DE ITAPEMIRIM
14 – CARIACICA
15 – CASTELO
16 – COLATINA
17 – CONCEIÇÃO DA BARRA
18 – CONCEIÇÃO DO CASTELO
19 – DIVINO DE SÃO LOURENÇO
20 – DOMINGOS MARTINS
21 – DORES DO RIO PRETO
22 – ECOPORANGA
23 – FUNDÃO
24 – GUAÇUI
25 – GUARAPARI
26 – IBATIBA
27 – IBIRAÇU
28 – IBITIRAMA
29 – ICONHA
30 – ITAGUAÇU
31 – ITAPEMIRIM
32 – ITARANA
33 – IÚNA
34 – JAGUARÉ
35 – JERÔNIMO MONTEIRO
36 – JOÃO NEIVA
37 – LINHARES
38 – MARATAÍZES
39 – MARECHAL FLORIANO
40 – MARILÂNDIA
41 – MIMOSO DO SUL
42 – MONTANHA
43 – MUCURICI
44 – MUNIZ FREIRE
45 – MUQUI
46 – NOVA VENÉCIA
47 – PANCAS
48 – PEDRO CANÁRIO
49 – PINHEIROS
50 – PIÚMA
51 – PONTO BELO
52 – RIO NOVO DO SUL
53 – SANTA LEOPOLDINA
54 – SANTA MARIA DE JETIBÁ
55 – SANTA TERESA
56 – SÃO DOMINGOS DO NORTE
57 – SÃO GABRIEL DA PALHA
58 – SÃO JOSÉ DOS CALÇADOS
59 – SÃO MATEUS
60 – SÃO ROQUE DO CANAÃ
61 – SERRA
62 – VARGEM ALTA
63 – VENDA NOVA DO IMIGRANTE
64 – VIANA
65 – VILA PAVÃO
66 – VILA VELHA
Próximas etapas
Todos os municípios habilitados receberam o parecer da fase de habilitação via E-Docs e e-mail. A partir da publicação da Portaria divulgada na sexta-feira, os municípios têm três meses para enviar o restante da documentação necessária para celebração, que contém, o Plano de Ação, extrato zerado da conta corrente específica para a parceria, comprovação de que o Plano foi discutido no âmbito do Conselho Municipal de Políticas Culturais e documentos pessoais do prefeito e gestor do Fundo, além de eventuais pendências apontadas no parecer da fase de habilitação.
A fase final consiste na análise e aprovação dos planos de ação por parte da Secult. Aprovado o plano, o município vai assinar o Termo de Responsabilidade e depositar o coinvestimento. Já a Secult repassará os recursos oriundos do programa.
Caso algum gestor municipal esteja com dúvida em relação ao o programa de coinvestimento, a Gerência do Sistema Estadual de Cultura (Gesec) da Secult é necessário entrar em contato pelo e-mail [email protected] ou pelo telefone (27) 3636-7112.
Tabela de valores dos recursos:
Programa de Coinvestimento da Cultura – Fundo a Fundo ciclo 2025
O Fundo a Fundo da Cultura é um programa de coinvestimento que transfere para os municípios recursos do Funcultura, com o objetivo de fomentar e incentivar a criação, produção e distribuição de produtos e serviços que usem o conhecimento, a criatividade e o capital intelectual como principais recursos produtivos aos munícipes.
Ao todo foram destinados R$ 48 milhões aos municípios capixabas por meio de três linhas de fomento distintas: Editais Municipais (R$ 8 milhões), Patrimônio Material Tombado, e Espaços Culturais – esta última nova, investimento total previsto nessas duas linhas (Fundo a Fundo Patrimônio Material e Espaços Culturais) é de R$ 40 milhões.
Os Editais Municipais (Fundo a Fundo) destinam recursos à criação de editais municipais de cultura, com foco no fortalecimento de artistas locais, das culturas tradicionais populares e do patrimônio imaterial, considerando a cultura como expressão simbólica, direito de cidadania e atividade econômica.
O eixo de Patrimônio (Fundo a Fundo) prevê a transferência de recursos para a revitalização de bens tombados ou em processo de tombamento, incluindo edificações e sítios históricos, promovendo a preservação integrada do patrimônio cultural.
Já o eixo de Espaços Culturais é voltado à celebração de parcerias para projetos, obras e aquisição de equipamentos e mobiliário em espaços culturais municipais integrantes do Sistema de Espaços Culturais, com investimento conjunto previsto de R$ 40 milhões para estas duas linhas, que possibilitam investimento em obras, elaboração de projeto executivo ou aquisição de equipamentos.




